Lagrange matemático y físico de origen italiano vivió en Francia y Prusia en los siglos XVIII y XIX. Su obra es extraordinariamente extensa, conocido sobre todo por la reformulación de la mecánica Newtoniana que fue continuada por Hamilton. Al igual que los físicos de su época trabajó en la definición de la acción y en el principio de acción mínima (aunque éste se ha venido a llamar principio de Hamilton), y que se ha generalizado en la mecánica cuántica y relativista. Su formulación se basa en razonamientos energéticos, al contrario que Newton cuyos razonamientos están basados en fuerzas. En su enorme tratado Mecánica analítica empleó el cálculo diferencial ya en notación moderna
La física de Newton tiene el problema de la dependencia de las ecuaciones del sistema de coordenadas. Sea por ejemplo un sistema con dos grados de libertad descrito en coordenadas cartesianas. La segunda ley de Newton en este marco se escribe así

La segunda ley de Newton, o principio fundamental de la dinámica, establece que la aceleración de un objeto es directamente proporcional a la fuerza neta que actúa sobre él e inversamente proporcional a su masa

Esto significa que a mayor fuerza aplicada, mayor aceleración, mientras que a mayor masa, se requiere más fuerza para acelerar.
Puntos clave:
Fórmula principal:

Proporcionalidad: Si se duplica la fuerza, la aceleración se duplica. Si se duplica la masa, la aceleración se reduce a la mitad (para una fuerza dada).
Dirección: La aceleración ocurre en la misma dirección que la fuerza neta aplicada.Unidades (SI): La fuerza se mide en Newtons

Ejemplo: Empujar un carro de supermercado vacío requiere menos fuerza que uno lleno para lograr la misma aceleración. Conceptos relacionados: Fuerza Neta: Es la suma vectorial de todas las fuerzas que actúan sobre un cuerpo.Masa: Es una medida de la inercia, o la resistencia de un objeto a cambiar su estado de movimiento.
Pero sin embargo en coordenadas polares es bien diferente, tanto que es imposible imaginarse sus soluciones a la vista de ellas, lo que es frustrante:

Lagrange busca una formulación invariante al sistema de coordenadas elegido.
Para llegar a ésta formulación invariante al sistema de coordenadas, se define una función escalar lagrangiana (o lagrangiano del sistema) que es igual a la energía cinética.
Ec menos la energía potencial Ep
Si las fuerzas derivan de potenciales.
La lagrangiana se calcula en función de las variables que describen los grados de libertad del sistema, y sus derivadas respecto del tiempo. Por ejemplo en el tiro parabólico las variables serán el espacio recorrido y su derivada, la velocidad instantánea En el caso de un péndulo, las variables serán el ángulo respecto a la vertical y la velocidad angular Es normal que las variables dependan del tiempo, y la lagrangiana puede depender del tiempo explícitamente.
Dependiendo del problema, las coordenadas serán cartesianas, polares, etc. En general no interesa referirse a unas coordenadas u otras, con lo que se denotan en las llamadas coordenadas generalizadas. Estas coordenadas pueden equivaler a , , etc. según el problema. Las coordenadas generalizadas se denotan con (en negrita para todos los índices), o bien qi si se usa el subíndice para referirse a un conjunto de ellas. Se denotan como o las primeras derivadas de las coordenadas generalizadas respecto del tiempo o velocidades generalizadas. Se denotan con o las segundas derivadas de las coordenadas generalizadas respecto del tiempo, etc.
En resumen, en este caso la lagrangiana tiene dimensiones de energía (cinética menos potencial), y su valor es

Para que se cumpla lo de arriba las ligaduras no pueden depender del tiempo, y las fuerzas deben derivarse de potenciales, pero profundizar en estos detalles sale del propósito de este texto, con lo que pido perdón por presentar este resultado así directamente. Para indicar que la lagrangiana depende de las coordenadas generalizadas , de sus derivadas respecto del tiempo , y del tiempo propiamente dicho se suele escribir así

Definición de acción en mecánica clásica.
La interpretación física de la acción se da por supuesta en ámbitos de la física profesional. Pero si un físico profundiza en el concepto en su intimidad, es posible que no llegue a poder explicarse con seguridad y claridad todas las implicaciones del concepto de acción, que aparece bajo distintas formas en mecánica clásica, electromagnetismo, relativista y cuántica. La acción se postula mínima en un proceso de mecánica clásica.

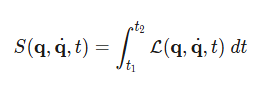
La acción se define como la integral respecto del tiempo de la lagrangiana, así que es una magnitud cuyo valor es un número con dimensiones de energía por tiempo

El objeto matemático de arriba puede parecer un tanto raro, se trata de un funcional. No es una función real de variable real, o compleja de variable compleja. En este caso es una entidad que toma como parámetro funciones del tiempo como y entrega un resultado .
El cálculo sobre funcionales se estableció en el denominado cálculo variacional, que fué co-inventado por Lagrange, Euler y otros científicos y matemáticos de los siglos XVIII y XIX. El cálculo variacional no es en absoluto el objeto de este post, pero se van a emplear sus resultados.
Ecuaciones de Euler-Lagrange.
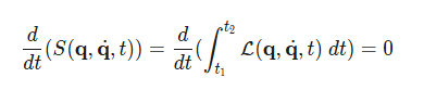
Se postula que la acción es mínima a lo largo de un proceso mecánico, y por tanto la derivada de la integral de acción (de la acción) debe valer cero ya que estamos en un mínimo. O lo que es lo mismo, debe cumplirse que

En el principio de mínima acción la derivada es nula, así que su solución matemática serán máximos, mínimos, puntos silla, etc. Sin embargo se postula que la acción en un caso real debe corresponder un mínimo.
Ahora voy a denostar injustamente los modelos matemáticos basados en fuerzas, pero es el momento de llamar la atención sobre un par de cuestiones: Siguiendo la pista de la acción mínima se puede resolver un problema sin conocer las fuerzas que actúan en el interior del sistema que se está estudiando. También sucede que en algunos casos estas fuerzas pueden ser imposibles de conocer en detalle, o ni siquiera son interesantes, y en estos casos se inclina la balanza a favor del modelo lagrangiano respecto del newtoniano.
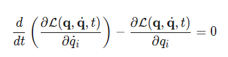
Empleando el cálculo variacional, se puede demostrar que el principio de mínima acción se satisface si se satisface(n) la(s) ecuación(es) de abajo, llamadas ecuaciones de Euler-Lagrange. La cuestión del posible plural proviene de que el número de grados de libertad del sistema que puede ser 1, 2, 3, … Depende de que las coordenadas generalizadas sean una, por ejemplo para el péndulo, o el par de coordenadas e para un tiro parabólico en dos dimensiones, seis para algún sistema de dos cuerpos libres en el espacio (bien en coordenadas cartesianas, polares o cilíndricas serían 6 grados de libertad), etc.

Cada velocidad generalizada debe tratarse como una variable independiente a la hora de derivar la lagrangiana. A esta operación se le denomina derivar formalmente la lagrangiana. Este hecho de realizar la derivada formal, aunque facilita los cálculos, es difícil de asimilar. Tiene más sentido viendo la interpretación geométrica de la lagrangiana, pero no es necesario leer el siguiente apartado si lo que se desea es pasar directamente a resolver problemas.
Interpretación geométrica de la lagrangiana.
Sea un sistema de partículas que se describa con N coordenadas generalizadas. Se puede definir como espacio de configuración al espacio N-dimensional tal que:
- Cada uno de sus puntos corresponde con el valor concreto de cada una de las N coordenadas en un instante del tiempo. No informa sobre la dirección del movimiento.
- Un sistema en movimiento describirá una curva en , que estará determinada por las leyes de la física.
La lagrangiana es la función única que describe todas las leyes de la física, lo que además de sorprendente es muy bello, y cumple que:
- Por sorprendente que pueda parecer, toda la evolución cinemática en el espacio de configuración está incluída en una única función lagrangiana aunque el sistema esté formado por multitud de partículas.
- No existe un sistema de coordenas privilegiado para definir la lagrangiana. Lógicamente en algunos sistemas de coordenadas el problema se resolverá más fácilmente que en otros.
- La lagrangiana depende tanto de las coordenadas ( ), como de las velocidades (derivadas de que son por definición tangentes a la variedad ). La lagrangiana es por tanto una función que se define sobre el fibrado tangente del espacio de configuración : Los puntos de están formados por puntos de unidos a vectores tangentes a . es por tanto una variedad 2N dimensional. Se puede ampliar información sobre espacios tangentes en la entrada operador derivada direccional.
La trayectoria que sigue un sistema en el espacio de configuración C cumple además que la acción es mínima. En este sentido se puede decir que dicha trayectoria es una geodésica en C definiendo como distancia en C la acción S .
Ejemplo de tiro parabólico.
Recuperando el ejemplo que se ha presentado en el apartado de Newton, supóngase que se lanza una pelota a 45º de inclinación. Se desea calcular su movimiento en el tiempo, es decir su cinemática. Se trata de calcular la lagrangiana, y como existen dos grados de libertad independientes e que son las componentes del vector de posición , habrá que resolver dos ecuaciones de Euler-Lagrange.

La lagrangiana es la energía cinética menos la potencial, ya que la fuerza depende del potencial gravitatorio y las ligaduras no dependen del tiempo, ya que en este caso la partícula es libre y no hay ligaduras, entonces

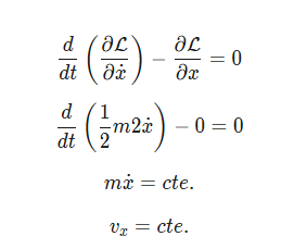
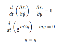
Ahora hay que resolver dos ecuaciones de Euler-Lagrange, una para cada coordenada. No hay que olvidar, como se ha comentado antes, que la derivación debe ser formal. La correspondiente a la coordenada se puede calcular como sigue

Que es la primera ley de Newton para el eje x ley de la inercia, establece que todo cuerpo preserva su estado de reposo o movimiento uniforme y rectilíneo a no ser que sea obligado a cambiar su estado por fuerzas netas impresas sobre él. Esto significa que los objetos tienden a seguir haciendo lo que ya hacían (mantenerse quietos o moverse en línea recta a velocidad constante) si la suma de fuerzas externas sobre ellos es cero.
La ecuación correspondiente a la coordenada se puede calcular así

Que es la segunda ley de newton para el eje y.
Con lo que se demuestra que la mecánica Lagrangiana equivale a la de Newton en este caso. Para terminar de resolver el problema se puede mirar en el mismo ejemplo expuesto en el artículo de física Newtoniana en este mismo sitio aquí.
Ejemplo con el péndulo simple.
Se desea calcular la cinemática de un péndulo simple. En este caso es claro que solo tiene un grado de libertad, que es el ángulo del péndulo respecto de la vertical . Conociendo este ángulo para cualquier instante se tiene el problema resuelto.

La función lagrangiana es la energía cinética menos la potencial, ya que la fuerza gravitatoria depende del potencial gravitatorio, y las ligaduras no dependen del tiempo, o sea que el brazo del péndulo se considerará rígido en este caso.
NOTA: Si el brazo del péndulo se deformara pero no como un muelle elástico (su potencial sería del tipo sino como un material con pérdidas de energía, no se podría realizar la afirmación de que la lagrangiana es la diferencia de energías.
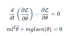
Sean I el momento de inercia y la velocidad angular, o sea . Teniendo en cuenta que el centro de coordenadas está en el techo, se tiene que.

Esta sería la Función Lagrangiana.
Ahora se resuelve la única ecuación de Euler-Lagrange para el único grado de libertad

No es lineal. Pero al menos para pequeños ángulos se puede aproximar y limpiar y una

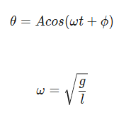
Cuya solución es una función periódica sinusoidal

¡Siendo la frecuencia independiente de , la amplitud angular de la oscilación, la fase inicial y la masa! lo que permite fabricar relojes de péndulo sin preocuparse del material con el que se construye. Curiosamente sin embargo, un péndulo no bate igual al nivel del mar que en lo alto de una montaña (varía la ), y los fabricantes lo solucionan permitiendo subir o bajar la lenteja con un tornillito, lo que ajusta el otro único parámetro que puede afectar , la longitud del brazo.
La solución del caso no lineal es muy interesante, pero se sale del ámbito de este artículo acerca de Lagrange, la acción, el principio de mínima acción y las ecuaciones de Euler-Lagrange, así que este post termina aquí. Para saber más de mecánica no dejes de visitar la entrada Mecánica Hamiltoniana.
Agradecemos a Físicalandia por sus breves explicaciones.