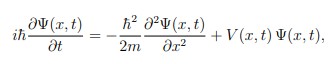
Fisica cuántica en Terminos de Layman. Teoria del Todo, Teoria M y Civilizaciones anteriores.

Imagen de la forma real del halo de estrellas de la Vía Láctea realizado por los científicos que lo detectaron (Melissa Weiss/Centro de Astrofísica | Harvard y Smithsonian)
-
La Batalla de los Angeles 1942 Nuclear Pocas horas después del final de la incursión aérea, el Secretario de Marina Frank Knox llevó a cabo una conferencia de prensa, diciendo que todo el incidente había sido una falsa alarma debido…
-
Sopa Primordial de Oparin
Alexander Oparin postuló por primera vez su teoría (en ruso) en 1924 en un pequeño panfleto titulado Proiskhozhdenie Zhizny ( El origen de la vida ). Según Oparin, la superficie de la Tierra primitiva tenía un líquido espeso al rojo vivo, compuesto de elementos pesados…
-
Civilizaciones Anteriores
En este post vamos a describir brevemente la historia de la tierra, las edades del sol y la luna, los orígenes de nuestra civilización, pero basada en las glaciaciones terrestres que son las extinciones mayores que la tierra sufrio despues…
-
La Maquina del Tiempo
No es necesario imaginar una máquina fantástica para entender la translocación de las partículas de hadrones de una persona describiendo su masa física de forma general. Para un cuerpo clásico (y, por tanto, moviéndose en un espacio euclídeo), una traslación…
-
El Big Bang No existe
La historia del universo nace con una idea distinta del Big Bang donde declaramos que es imposible que el universo tenga un final, pero debe tener un principio, y declaramos que es imposible que el universo sea uno solo debe…
-
Teoría M Novikov
La formación de un átomo ( La formación de un átomo implica la unión de partículas subatómicas: un núcleo central con protones (positivos) y neutrones (neutros), rodeado por una nube electrónica de electrones (negativos), unidos por fuerzas electromagnéticas y nucleares,…