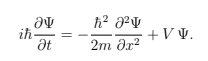
Entonces la primera forma es la expresión gramatical de la ecuación de schrodinger dependiente del tiempo algebraica que usted puede colocar en su navegador y este la resolverá matemáticamente como una matriz de funciones de potencias con la expresión de Born Ψ para entender esta ecuación que es el origen de la dualidad de Hopkins y las fuerzas que recorren el universo en dualidad onda y partículas en parsec gigantescos de partículas que componen el estado de la malla Bose Einstein. Que se origina en el experimento T-Rex que es la doble rendija. Siendo esta ecuación la de la vida en el cosmos y en la tierra.
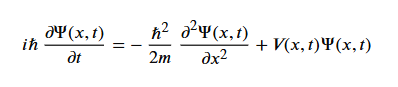
ih ̄ ∂Ψ(x, t) ∂t = − h ̄ 2 2m ∂ 2Ψ(x, t) ∂x2 + V (x, t) Ψ(x, t),
Ecuación de Shoeringer dependiente del tiempo.

Vea la siguiente página para entender las ecuaciones diferenciales en lenguague logarítmico algebráico trigonométrico o colocar la ecuacion deseada en su navegador preferido para obtener una explicacion mas profunda de cada desglose de la función.
https://processing.org/reference/sqrt_.html
Hemos observado en conferencias anteriores que todas las partículas, tanto la luz como la materia, pueden describirse como una
paquete de ondas localizadas.
De Broglie sugirió una relación entre la longitud de onda efectiva de la función de onda
Asociado con una partícula de materia o luz dada es el momento. Esta relación fue
Posteriormente confirmado experimentalmente para los electrones.
La consideración del experimento de dos rendijas ha proporcionado una comprensión de lo que podemos y no se puede lograr con la función de onda que representa la partícula: La función de onda Ψ no es observable. Según la interpretación estadística de Born, la cantidad Ψ∗Ψ = |Ψ2|.
Es observable y representa la densidad de probabilidad de localizar la partícula en un elemento dado volumen.
Para comprender mejor la función de onda, necesitamos una ecuación de onda a partir de la cual podamos estudiar la evolución de las funciones de onda en función de la posición y el tiempo, en general dentro de un potencial campo (por ejemplo, los campos potenciales asociados con la fuerza de Coulomb o la fuerza nuclear fuerte).
Como veremos, la manipulación de la ecuación de onda nos permitirá calcular la probabilidad “más probable”
Valores de la posición, el momento, la energía, etc. de una partícula. Estas magnitudes conforman el estudio de la mecánica dentro de la física clásica. Nuestra teoría cuántica se ha convertido ahora en mecánica cuántica.
La descripción de la física mecánica a escala cuántica. La subrama particular de la física cuántica…
La mecánica accesible a través de la teoría ondulatoria a veces se denomina mecánica ondulatoria.
La ecuación de onda de Schrödinger dependiente del tiempo es la ecuación de onda cuántica
yo ¯∂Ψ(x, t)∂t = −h¯22 metros∂2Ψ(x, t)∂x2 + V(x, t) Ψ(x, t), (1) donde i = √−1,
m es la masa de la partícula, ¯h = h/2π, Ψ(x, t) es la función de onda que representa la partícula y V (x, t) es una función de energía potencial.
Es sencillo extender la función de Schrödinger.
Ecuación a tres dimensiones espaciales
ih ̄ ∂Ψ ∂t = − h ̄ 2 2m ∂ 2Ψ ∂x2 + ∂ 2Ψ ∂y2 + ∂ 2Ψ ∂z2 ! + V Ψ.(2)

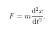
La ecuación de Schrödinger se postula, no se deriva, pero las predicciones basadas en ella son verificadas mediante experimentos. Proporciona una descripción correcta de los observables físicos. Lo mismo podría se puede decir de la ecuación de Newton
F = m d 2x dt 2 .(3)

Este es otro ejemplo de una ecuación que se postula, no se deriva, pero que proporciona una respuesta correcta.
Descripción de observables físicos. Sin embargo, la ecuación de Newton es válida a escalas macroscópicas.
Mientras que la ley de Schrödinger es válida a escala microscópica o cuántica.
Nótese que la ecuación de Schrödinger tal como se presenta aquí no es relativista. Una forma relativista de La ecuación de Schrödinger existe pero no se considera en este curso.
Investigación de la ecuación de Schrödinger
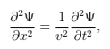
La ecuación de Schrödinger es nominalmente similar a la ecuación de onda clásica
∂2Ψ∂x2=1v2∂2Ψ∂t2, (4)

con la excepción de que la ecuación de Schrödinger contiene solo una derivada temporal de primer orden.
Esto es la primera pista de que las soluciones ondulatorias de la ecuación de Schrödinger no serán idénticas a las soluciones de la ecuación de onda clásica.
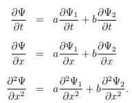
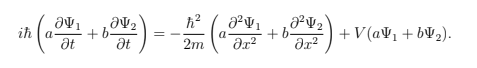
Si la ecuación de Schrödinger es lineal, entonces, si Ψ1 y Ψ2 representan soluciones válidas, deben existir una solución válida de la forma
Ψ(x, t) = a Ψ1(x, t) + b Ψ2(x, t), (5)

donde a y b son constantes (reales o complejas). Las derivadas de Ψ pueden escribirse
como
a ih ̄ ∂Ψ1 ∂t + h ̄ 2 2m ∂ 2Ψ1 ∂x2 − V Ψ1 ! = b ih ̄ ∂Ψ2 ∂t + h ̄ 2 2m ∂ 2Ψ2 ∂x2 − V Ψ2 ! .(6)

Sustituyendo estas expresiones en la ecuación de Schrödinger para Ψ, obtenemos
ih ̄ a ∂Ψ1 ∂t + b ∂Ψ2 ∂t ! = − h ̄ 2 2m a ∂ 2Ψ1 ∂x2 + b ∂ 2Ψ2 ∂x2 ! + V (aΨ1 + bΨ2). (7)

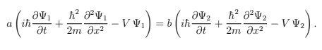
Reorganizando esta expresión obtenemos a
yo¯∂Ψ1 ∂t + h¯2 2 metros ∂ 2W1 ∂x2 − VΨ1 ! = b yo¯ ∂Ψ2 ∂t + h¯2 2 metros ∂ 2Ψ2 ∂x2− V Ψ2!. (8)

Como Ψ1 y Ψ2 son soluciones válidas para la ecuación de Schrödinger, entonces los términos dentro de los paréntesis son exactamente cero, la ecuación tiene sentido y Ψ también debe ser una solución válida para la ecuación de onda.
Dado que la ecuación de Schrödinger es lineal sabemos que el principio de superposición es válido y podemos crear con confianza paquetes de ondas a partir de la superposición de ondas lineales que son en sí mismos válidos.
Soluciones de la ecuación de Schrödinger. Recordemos de la lección 3 que la superposición de ondas, demostrada como franjas de interferencia, es necesario para describir los resultados del experimento de doble rendija.
Ejemplo 1.2 de T-Rex:
Investigación de soluciones válidas para la ecuación de Schrödinger
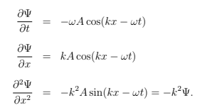
En la lección 3 investigamos soluciones a la ecuación de onda clásica de la forma
Ψ(x, t) = A sin(kx − ωt + φ)(9)

donde k es el número de onda, ω es la frecuencia angular y φ es una constante de fase. La onda se mueve en la dirección x positiva. Esta onda «clásica» no es una solución válida para el tiempo.
Ecuación de Schrödinger dependiente.
Comenzamos considerando los tres términos derivados
∂Ψ ∂t = −ωA cos(kx − ωt) ∂Ψ ∂x = kA cos(kx − ωt) ∂ 2Ψ ∂x2 = −k 2A sin(kx − ωt) = −k 2Ψ.(10)

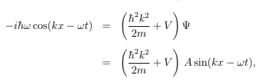
Insertando estas relaciones en la ecuación de Schrödinger dependiente del tiempo obtenemos
−ihω ̄ cos(kx − ωt) = h ̄ 2 k 2 2m + V ! Ψ = h ̄ 2 k 2 2m + V ! A sin(kx − ωt), (11)

que nunca se satisface (cos x 6 = sen x).
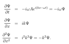
Consideremos ahora una función de onda más general
Ψ(x, t) = Aei(kx−ωt) = A[cos(kx − ωt) + isin(kx − ωt)]. (12)

Observamos que esta solución de onda general es compleja pero aún así representa una onda que se mueve en sentido positivo.
dirección x.
En general, la amplitud A también puede ser compleja. Para demostrar que esto
La función de onda es una solución válida para la ecuación de Schrödinger dependiente del tiempo, seguimos el mismo procedimiento.
enfoque como antes, es decir,
∂Ψ ∂t = −iωAei(kx−ωt) = −iωΨ ∂Ψ ∂x = ikΨ ∂ 2Ψ ∂x2 = i 2 k 2Ψ = −k 2Ψ.(13)

Insertando estas relaciones en la ecuación de Schrödinger dependiente del tiempo obtenemos
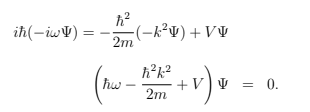
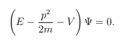
ih ̄(−iωΨ) = − h ̄ 2 2m (−k 2Ψ) + V Ψ hω ̄ − h ̄ 2 k 2 2m + V ! Ψ = 0. (14)

Podemos entender esta ecuación observando que E = hf = ¯hω y p = ¯hk para obtener
E − p 2 2m − V ! Ψ = 0.(15)

El término entre paréntesis representa la conservación de la energía (es decir, E − KE −V = 0) y, por lo tanto
Aei(kx−ωt)
representa una solución válida para la ecuación de Schrödinger dependiente del tiempo.
Probabilidad y normalización
En la lección anterior introdujimos la idea de probabilidades basadas en la función de onda.
La probabilidad P(x) dx de observar una partícula entre x y x + dx es
P(x) dx = Ψ∗ (x, t)Ψ(x, t) dx.(16)

La probabilidad de observar la partícula entre x1 y x2 es
P = Z x2 x1 Ψ ∗Ψ dx.(17)

La partícula debe existir en algún lugar; esta condición se impone normalizando la función de onda.
De acuerdo a
Z ∞ −∞ Ψ ∗ (x, t)Ψ(x, t) = 1.(18)

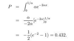
Ejemplo 1.3 de T–Rex:
Normalización de la función de onda
Considere la función de onda Ψ(x, t) = Ae−α|x|
Normalizar la función de onda y determinar la probabilidad de observar la partícula entre
0 < x < 1/α, y entre 1/α < x < 2/α.
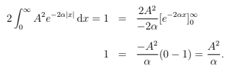
La función de onda se normaliza de la siguiente manera
Z ∞ −∞ A 2 e −2α|x| dx = 1. (19)

Como la función de onda es simétrica respecto del cero, podemos reescribirla como
2 Z ∞ 0 A 2 e −2α|x| dx = 1 = 2A2 −2α [e −2αx] ∞ 0 1 = −A2 α (0 − 1) = A2 α .(20)

El coeficiente A =√α y la función de onda se pueden escribir como
Ψ = √ αe−α|x| .(21)

La probabilidad de localizar la partícula entre 0 < x < 1/α puede escribirse como
P = Z 1/α 0 αe−2αx = α −2α [e −2α ] 1/α 0 = − 1 2 (e −2 − 1) = 0.432. (22)

Calcular el valor de la probabilidad de localizar la partícula entre 1/α < x < 2/α como
ejercicio.
Propiedades de las funciones de onda válidas
Para que la función de onda corresponda a situaciones físicas (es decir, reales), debe satisfacer un número de condiciones adicionales además de la ecuación de Schrödinger; a veces se las denomina como condiciones de contorno:
1. Para evitar probabilidades infinitas, Ψ debe ser finito en todas partes.
2. Para evitar múltiples valores de probabilidad, Ψ debe tomar un solo valor en cada posición y tiempo.
3. Para potenciales finitos, ∂Ψ/∂x también debe ser continuo (las cosas son diferentes cuando V es infinito).
4. Para normalizar la función de onda se debe tener limx→±∞ Ψ → 0.
La función de onda libre
La función de onda Ψ(x, t) = Aei(kx−ωt)
representa una solución válida para la ecuación de Schrödinger. La
La función de onda se denomina función de onda libre, ya que representa una partícula que experimenta cero fuerza neta (V constante). Sin embargo, la función de onda libre no se puede normalizar ya que es continua, onda (no localizada), es decir
Z ∞ −∞ Ψ ∗ (x, t)Ψ(x, t) = Z ∞ −∞ A 2 dx = ∞. (23)

Este resultado se puede entender a través del principio de incertidumbre: la función de onda libre posee una valor definido k y ω (∆k = ∆ω = 0). Por lo tanto, debemos tener ∆x = ∆t = ∞. A pesar de esto condición, la función de onda libre sigue siendo una solución básica útil para la ecuación de Schrödinger, ya que todas las funciones de onda válidas se pueden construir a partir de una suma o integral de funciones de onda libres, por ejemplo
ΨT OT = Z ∞ −∞ e −x 2/2σ e i(kx−ωt) dx, (24)

Representa un paquete de ondas gaussianas.
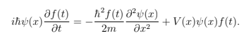
Hasta ahora hemos considerado la ecuación de Schrödinger dependiente del tiempo. Sin embargo, en el caso donde el término potencial es constante, es decir V (x, t) = V (x), la ecuación de Schrödinger se puede separar en componentes dependientes de la posición y el tiempo
Ψ(x, t) = ψ(x)f(t). (25)

Insertando esta función de onda en la ecuación de Schrödinger dependiente del tiempo, obtenemos
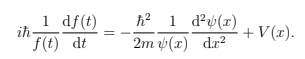
ihψ ̄ (x) ∂f(t) ∂t = − h ̄ 2 f(t) 2m ∂ 2ψ(x) ∂x2 + V (x)ψ(x)f(t).(26)

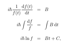
Dividiendo por ψ(x)f(t) obtenemos
ih ̄ 1 f(t) df(t) dt = B ih ̄ Z df f = Z B dt ih ̄ ln f = Bt + C, (27)

El lado izquierdo de esta ecuación es una función solo del tiempo, el lado derecho es una función solo de la posición; por lo tanto
cada uno debe ser igual a un valor constante, llamado B. Para determinar el valor de B, consideramos el
Solo izquierda
ln f = Bt ih ̄ f(t) = e Bt/i ̄h = e −iBt/ ̄h . (28)

donde C es una constante de integración que se puede establecer en cero especificando
f(t = 0) = 0.
Por lo tanto en Laplace
ln f = Bt ih ̄ f(t) = e Bt/i ̄h = e −iBt/ ̄h . (29)

Si comparamos este resultado con la función de onda de la partícula libre, observamos que
f(t) = e−iωt y que B = ¯hω = E, la energía total.
Nótese que esto también puede verse a partir de un análisis dimensional de la
término f(t) = e−iBt/¯h; t tiene unidades de segundos y ¯h tiene unidades de energía por tiempo; por lo tanto, B debe tienen unidades de energía. Este es un resultado general. Ahora podemos escribir
ih ̄ 1 f(t) df(t) dt = E, (30)

y ahora podemos formar la ecuación de Schrödinger independiente del tiempo como
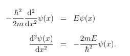
− h ̄ 2 2m d 2ψ(x) dx 2 + V (x)ψ(x) = E ψ(x). (31)

Volviendo a la forma general de la función de onda podemos escribir
Ψ(x, t) = ψ(x)e−iωt (32)

La densidad de probabilidad de esta función de onda es
Ψ ∗Ψ = ψ 2 (x)(e iωte −iωt) = ψ 2 (x).(33)

La distribución de probabilidad es constante en el tiempo. En física clásica, este fenómeno se denomina
como una onda estacionaria. En mecánica cuántica, nos referimos a esto como un estado estacionario.
Por lo tanto,
Se puede utilizar la ecuación de Schrödinger, independiente del tiempo, para estudiar estados estacionarios o estables en la física cuántica.
sistemas.
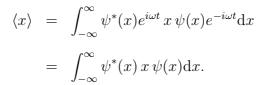
Valores esperados
Si la función de onda representa partículas localizadas, necesitamos un método para calcular la predicciónvalores de cantidades observables (por ejemplo, posición, momento, energía total) de la función de onda.
La determinación de cantidades observables a partir de la función de onda se basa en la expectativa.
valores. La idea de un valor esperado se basa en la interpretación estadística de la onda.
función. Si realizamos muchas mediciones de una partícula descrita por una función de onda dada, el promedio de muchas mediciones convergerá hacia el valor esperado.
Cualquier cantidad observable para la cual podamos calcular un valor esperado a partir de la función de onda se denomina observable físico. Los observables físicos deben estar representados por objetos reales, no imaginarios – números.
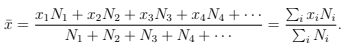
Imaginemos que observamos la posición de una partícula obligada a moverse a lo largo del eje x. Observamos La partícula en x1, N1 veces, en x2, N2 veces, y así sucesivamente. La posición promedio de la partícula es
x ̄ = x1N1 + x2N2 + x3N3 + x4N4 + · · · N1 + N2 + N3 + N4 + · · · = P i xiNi P i Ni . (34)

P(x) describe la probabilidad de observar la partícula en algún punto x (distribuido de forma continua)
puede reescribir la ecuación anterior en forma integral
x ̄ = R ∞ −∞ xP(x) dx R ∞ −∞ P(x) dx .(35)

Dentro de nuestro formalismo mecánico cuántico P(x) = Ψ∗
(x, t)Ψ(x, t) y el valor esperado de x
es ahora
hxi = R ∞ −∞ Ψ∗ (x, t) x Ψ(x, t)dx R ∞ −∞ Ψ∗ (x, t)Ψ(x, t)dx = Z ∞ −∞ Ψ ∗ (x, t) x Ψ(x, t)dx, (36)

para una función de onda normalizada. el valor esperado de una función general g(x) para una función de onda normalizada
La función de onda es
hg(x)i = Z ∞ −∞ Ψ ∗ (x, t) g(x) Ψ(x, t)dx.(37)

El valor esperado de un estado estacionario puede escribirse como
hxi = Z ∞ −∞ ψ ∗ (x)e iωt x ψ(x)e −iωtdx = Z ∞ −∞ ψ ∗ (x) x ψ(x)dx. (38)

Cuando afirmamos que la función de onda proporciona una descripción completa de un sistema físico,significa que el valor esperado de los observables físicos (cantidades reales) se puede calcular utilizando
La función de onda. La función de onda no puede proporcionar el valor de mediciones individuales.
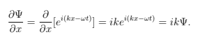
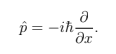
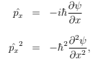
El operador de momento
¿Cómo calculamos el valor esperado del momento? ¿Algún conocimiento sobre el momento?
También debe ser coherente con el principio de incertidumbre. Considere la función de onda de la partícula libre,
Ψ(x, t) = e
i(kx−ωt)
Tomando la derivada con respecto a x, tenemos
∂Ψ ∂x = ∂ ∂x[e i(kx−ωt) ] = ikei(kx−ωt) = ikΨ. (39)

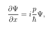
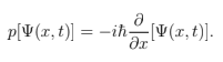
El número de onda k = p/h¯, tal que
∂Ψ ∂x = i p h ̄ Ψ, (40)

y reorganizando la ecuación obtenemos
p[Ψ(x, t)] = −ih ̄ ∂ ∂x[Ψ(x, t)]. (41)

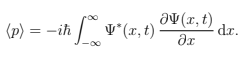
Por lo tanto, definimos el operador de momento como
pˆ = −ih ̄ ∂ ∂x. (42)

En lenguaje matemático, un operador transforma una función en otra, por ejemplo el operador Aˆ
opera sobre f(x) tal que A f ˆ (x) = g(x). Cada observable físico tiene un operador asociado.
que se utiliza para determinar el valor esperado del observable. El formalismo general es
hAi = Z ∞ −∞ Ψ ∗ (x, t) Aˆ Ψ(x, t) dx.(43)

Por lo tanto, el valor esperado del impulso es
hpi = −ih ̄ Z ∞ −∞ Ψ ∗ (x, t) ∂Ψ(x, t) ∂x dx.(44)

Como hemos visto anteriormente, la posición x es su propio operador.
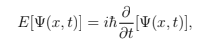
El operador energético
A continuación, consideramos la energía total de la función de onda. Calculamos la derivada temporal de la partícula libre.
función de onda
∂Ψ ∂t = ∂ ∂t e i(kx−ωt) = −iωei(kx−ωt) = −iωΨ.(45)

Sustituyendo ω = E/h¯ tenemos
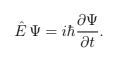
E[Ψ(x, t)] = ih ̄ ∂ ∂t[Ψ(x, t)], (46)

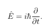
y definimos al operador energético como
Eˆ = ih ̄ ∂ ∂t.(47)

El valor esperado de la energía es entonces
hEi = ih ̄ Z ∞ −∞ Ψ ∗ (x, t) ∂Ψ(x, t) ∂t dx.(48)

Aunque los resultados anteriores se han generado utilizando la función de onda de partículas libres, son válidos
en general también.
Ejemplo 1.4 de T-Rex:
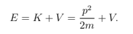
Utilizar la conservación de energía para generar la ecuación de Schrödinger
La energía total de una partícula puede escribirse como
E = K + V = p 2 2m + V.(49)

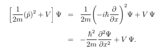
Ahora permitimos que los operadores asociados con cada observable actúen sobre la función de onda.
Considerando el lado izquierdo de la ecuación anterior
Eˆ Ψ = ih ̄ ∂Ψ ∂t . (50)

El lado derecho de la ecuación se convierte en
1 2m (ˆp) 2 + V Ψ = 1 2m −ih ̄ ∂ ∂x!2 Ψ + V Ψ = − h ̄ 2 2m ∂ 2Ψ ∂x2 + V Ψ. (51)

Igualando el lado izquierdo con el lado derecho de la ecuación de conservación de energía original, obtenemos el tiempo
ecuación de Schrödinger dependiente.
ih ̄ ∂Ψ ∂t = − h ̄ 2 2m ∂ 2Ψ ∂x2 + V Ψ. (52)

Es importante señalar que esto no es una derivación de la ecuación de Schrödinger. En cambio, muestra
la consistencia de los términos de energía y momento recién definidos.
El potencial del pozo cuadrado infinito
Ahora deseamos resolver la ecuación de Schrödinger independiente del tiempo para varios potenciales simples. En
Al hacerlo, investigaremos el comportamiento de la función de onda cuántica y el valor esperado de:
Observables físicos.
El potencial de pozo cuadrado infinito es esencialmente una partícula en una caja. Sin embargo, en esta ocasión nuestro análisis será más riguroso.
El cuadrado infinito describe bien el término potencial.
V (x) = ∞ x ≤ 0, x ≥ L = 0 0 < x < L, (53)

y la partícula está restringida al intervalo 0 < x < L. Esto se puede ver claramente considerando la
ecuación de Schrödinger independiente del tiempo
− h ̄ 2 2m d 2ψ(x) dx 2 + V (x)ψ(x) = E ψ(x).(54)

Cuando V (x) = ∞ debemos tener ψ(x) = 0 (para evitar un infinito en la ecuación) y por lo tanto
ψ∗ψ = 0, con la consecuencia de que la partícula no puede existir en esta región.
Cuando V (x) = 0, ψ(x)
Ahora representamos la función de onda de la partícula libre y reescribimos la función de Schrödinger independiente del tiempo.
ecuación como
− h ̄ 2 2m d 2 dx 2 ψ(x) = Eψ(x) d 2ψ(x) dx 2 = − 2mE h ̄ 2 ψ(x). (55)

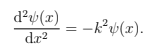
Observamos que p = ¯hk y E = p 2/2m. Por lo tanto,
p2 = 2mE y k2 = (2mE)/h¯2
y podemos reescribir la ecuación anterior como
d 2ψ(x) dx 2 = −k 2ψ(x). (56)

Una solución general para estas ecuaciones toma la forma
ψ(x) = A sin kx + B cos kx.(57)

Sin embargo, ¿cumple dicha solución con las condiciones de contorno para una función de onda aceptable?
El término potencial es discontinuo en x, por lo que dψ(x)/dx no necesita ser una función continua. Sin embargo, ψ(x) debe ser una función continua, es decir, ψ(x = 0) = 0 y ψ(x = L) = 0.
Tomando la primera condición
vemos que
ψ(x = 0) = A sin(0) + B cos(0) = 0 ⇒ B = 0. (58)

En x = L tenemos
ψ(x = L) = A sin(kL) = 0 ⇒ kL = nπ. (59)

Por lo tanto, la función de onda es
ψ(x) = A sin nπx L for n = 1, 2, 3, . . . and 0 < x < L. (60)

El punto importante a destacar aquí es que el rango de funciones de onda permitidas está cuantificado.
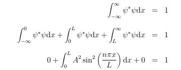
A continuación tenemos que normalizar la función de onda en todo el espacio, es decir,
Z ∞ −∞ ψ ∗ψdx = 1 Z 0 −∞ ψ ∗ψdx + Z L 0 ψ ∗ψdx + Z ∞ L ψ ∗ψdx = 1 0 + Z L 0 A 2 sin2 nπx L dx + 0 = 1(61)

Resolvemos esta integral aplicando el cambio de variable u = nπx/L y escribiendo
Z ∞ −∞ ψ ∗ψdx = 1 Z 0 −∞ ψ ∗ψdx + Z L 0 ψ ∗ψdx + Z ∞ L ψ ∗ψdx = 1 0 + Z L 0 A 2 sin2 nπx L dx + 0 = 1

La integral en la ecuación 61 se reduce entonces a
A 2 L nπ − 1 2 cos u sin u + u 2 nπ 0 = 1 A 2 L nπ − 1 2 cos(nπ) sin(nπ) + nπ 2 = 1 A = s 2 L .(63)

Por lo tanto, la función de onda normalizada puede escribirse
ψ(x) = s 2 L sin nπx L for n = 1, 2, 3, . . . and 0 < x < L.(64)

La función de onda es exactamente la misma que la de una onda estacionaria independiente del tiempo clásica y la de la partícula. En una caja corresponde por tanto a un estado estacionario.
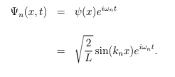
Ejemplo 1.5 de T–Rex:
Demuestre que la función de onda Ψn(x, t) para una partícula en un espacio infinito
El pozo cuadrado corresponde a una onda estacionaria en una caja.
Para generar la función de onda dependiente del tiempo formamos la cantidad
Ψn(x, t) = ψ(x)e iωnt = s 2 L sin(knx)e iωnt . (65)

Sin embargo, sin(knx) se puede escribir como
sin(knx) = e iknx − e −iknx 2i , (66)

de modo que la función de onda se convierte en
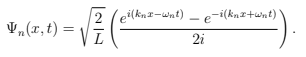
Ψn(x, t) = s 2 L e i(knx−ωnt) − e −i(knx+ωnt) 2i ! . (67)

Esto es simplemente la superposición de dos ondas, una que viaja en la dirección x positiva y otra viajando en dirección negativa. Se obtendrá una onda estacionaria con una frecuencia angular ωn.
Fin del ejemplo 1.5
La energía asociada a cada estado estacionario proviene de una consideración del número de onda
kn = nπ L = s 2mEn h ̄ 2 n = 1, 2, 3, . . . , (68)

donde el subíndice n indica que kn y En dependen del valor de n – el principal
número cuántico.
Podemos escribir la energía de cada estado cuántico como
En = n 2 π 2h ̄ 2 2mL2 = n 2 π 2 ( ̄hc) 2 2(mc2 )L2 = (eV nm)2 eV nm2 = eV.(69)

Una vez más, observamos que los posibles valores de energía de la partícula están cuantizados. En este caso,
La cuantificación de la energía surge únicamente de las condiciones de contorno. Cada estado disponible para la onda
La función ψn(x), se caracteriza por un estado de energía único En y una densidad de probabilidad |ψn|2 (ver
Figura 6.3 del T-Rex:
Cabe destacar una serie de puntos adicionales.
La partícula no puede tener E = 0 (o al menos sólo en el caso en que la partícula no lo tenga).
Existe, pero esta no es una posibilidad interesante). El estado de energía más bajo disponible es E1, correspondiente a n = 1. Este se conoce como el estado fundamental.
Aunque este efecto es solo
Si bien es cierto que en situaciones cuánticas las mismas reglas se aplican al mundo macroscópico, una pista de tenis…
La pelota restringida a permanecer dentro de una cancha no puede tener E = 0. Sin embargo, en este caso, E1 es tan pequeño que es inmensurable en la mayoría de las circunstancias prácticas. Una vez más, esta visión concuerda con
El principio de que los objetos macroscópicos poseen números cuánticos muy grandes.
En general vemos que la energía de la partícula confinada es inversamente proporcional tanto a la masa m y el cuadrado de la escala de confinamiento L. Por lo tanto, confinar una partícula dada a una región más pequeña impone una energía mínima mayor. Tomando el caso de un electrón, podemos escribir
E1 = π 2 ( ̄hc) 2 2(mc2 )L2 = (π 2 )(197.3 eV nm)2 (2)(511, 000 eV)(L2 ) ≈ 0.4 (L/nm)2 eV. (70)

Por lo tanto, si confinamos un electrón en una caja unidimensional de longitud 0,1 nm obtenemos energía del estado fundamental E1 ≈ 40 eV, una aproximación razonable a las energías de los electrones atómicos.
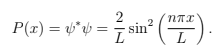
La densidad de probabilidad P(x) para observar la partícula en un x dado es
P(x) = ψ ∗ψ = 2 L sin2 nπx L . (71)

En el límite clásico esta probabilidad es P(x) = 1/L para 0 < x < L. Para valores grandes de
n hay
Habrá muchas oscilaciones de onda dentro de la caja. Como el valor promedio de sen2
θ durante un ciclo es 1/2. Por lo tanto, en el límite de grandes números cuánticos obtenemos el resultado clásico.
Ejemplo 1.6 de T–Rex: Calcular los valores esperados de x, x2, p y p2
para una partícula en un pozo cuadrado infinito existente en el primer estado excitado.
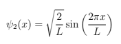
El primer estado excitado corresponde a n = 2. La función de onda para este caso es
ψ2(x) = s 2 L sin 2πx L(72)

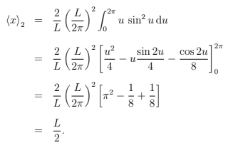
1. El valor esperado de hxi2
es
hxi2 = 2 L Z L 0 x sin2 2πx L dx.(73)

Una vez más, resolvemos esto usando un cambio de variable u = 2πx/L y observando que
dx/du = L/2π.
Lo integral entonces se convierte en
hxi2 = 2 L L 2π 2 Z 2π 0 u sin2 u du = 2 L L 2π 2 ” u 2 4 − u sin 2u 4 − cos 2u 8 #2π 0 = 2 L L 2π 2 π 2 − 1 8 + 1 8 = L 2 . (74)

Tenga en cuenta que la posición esperada de la partícula está en el medio del cuadro, aunque el valor de la función de onda es cero en este punto.
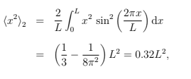
2. El valor esperado de hx
hx 2 i2 = 2 L Z L 0 x 2 sin2 2πx L dx = 1 3 − 1 8π 2 L 2 = 0.32L 2 , (75)

Nótese que la integral se resuelve con un cambio de variable para convertir el integrando en una función estándar. Forma y luego se trabaja de una manera sencilla (aunque larga).
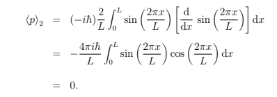
3. La expectativa del momento hpi2
viene dado por
hpi2 = (−ih ̄) 2 L Z L 0 sin 2πx L ” d dx sin 2πx L # dx = − 4πih ̄ L Z L 0 sin 2πx L cos 2πx L dx = 0.

El valor promedio o esperado del momento es cero, ya que la partícula se mueve hacia la izquierda. a menudo mientras se mueve hacia la derecha.
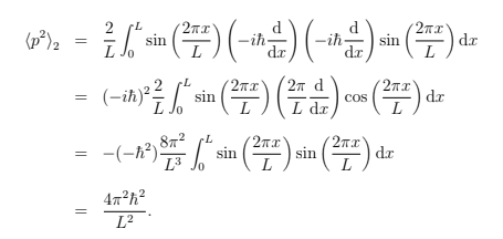
4. Sin embargo, el valor esperado de hp2i2,se comporta de manera diferente y se da por
hp 2 i2 = 2 L Z L 0 sin 2πx L −ih ̄ d dx ! −ih ̄ d dx ! sin 2πx L dx = (−ih ̄) 2 2 L Z L 0 sin 2πx L 2π L d dx ! cos 2πx L dx = −(−h ̄ 2 ) 8π 2 L3 Z L 0 sin 2πx L sin 2πx L dx = 4π 2h ̄ 2 L2 . (77)

Este valor se puede comparar con el valor de E2, es decir
E2 = 4π 2h ̄ 2 2mL2 = hp 2 i2 2m ,(78)

que es simplemente la afirmación E = p
2/2m + V , para lo cual en este caso tenemos V = 0.
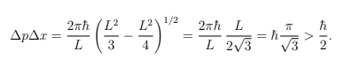
Finalmente, ¿qué sucede si consideramos la relación de incertidumbre para esta función de onda?
Podemos formular la relación de incertidumbre al observar que ∆x = (hx 2 i − hxi 2 ) 1/2 and ∆p = (hp 2 i − hpi 2 ) 1/2.
En este caso, encontramos que
∆p∆x = 2πh ̄ L L 2 3 − L 2 4 !1/2 = 2πh ̄ L L 2 √ 3 = ̄h π √ 3 > h ̄ 2 . (79)

El potencial del pozo cuadrado finito
El pozo cuadrado infinito proporciona un primer ejemplo útil de cómo manipular el tiempo independiente.
Ecuación de Schrödinger.
Sin embargo, los potenciales infinitos no son muy realistas. Un ejemplo más razonable…
De los potenciales encontrados en la naturaleza es el potencial de pozo cuadrado finito donde observamos la siguiente
= V0 x ≤ 0 region I V (x) = 0 0 < x < L region II = V0 x ≥ L region III

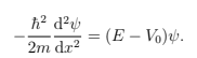
Consideramos una partícula de energía E < V0. En la física clásica, la partícula está completamente ligada dentro el potencial. Sin embargo, dentro de la teoría cuántica veremos que existe la posibilidad de que la La partícula puede existir fuera del pozo de potencial.
Comenzamos considerando la ecuación de Schrödinger independiente del tiempo para las regiones I y III fuera el pozo cuadrado
− h ̄ 2 2m d 2ψ dx 2 = (E − V0)ψ.(80)

Podemos reescribir esta ecuación usando α 2 = 2m(V0 − E)/h ̄ 2 , como constante positiva, como
2ψ dx 2 = α 2ψ. (81)

Las soluciones de esta ecuación toman la forma
eαx y e−αx, es decir, términos exponenciales en lugar de sinusoidales.
Podemos usar la condición de contorno ψ(x) → 0 cuando x → ±∞ para seleccionar una onda físicamente razonable.
funciones.
En la región x > L podemos rechazar el término exponencial positivo, ya que de lo contrario
Tenemos ψ(x) → ∞ cuando x → ±∞. De manera similar, podemos rechazar el término exponencial negativo en x < 0.
Por lo tanto podemos escribir
ψI (x) = Aeαx x < 0 ψIII (x) = Be−αx x > L.

Las constantes A y B representan amplitudes de probabilidad que debemos resolver utilizando el límite
condiciones.
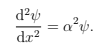
Dentro del pozo potencial, en la región II, la ecuación de Schrödinger, independiente del tiempo, toma la forma
d 2ψ dx 2 = −k 2ψ, (82)

donde k = q(2mE)/h¯2

La función de onda sinusoidal general que satisface esta ecuación puede ser
escrito como
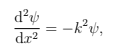
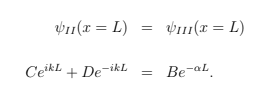
ψII (x) = Ceikx + De−ikx 0 < x < L. (83)
𝜓𝐼𝐼(𝑥)=𝐶𝑒𝑖𝑘𝑥+𝐷𝑒−𝑖𝑘𝑥

Tenga en cuenta que cuando observamos bien el cuadrado infinito, pudimos utilizar las condiciones de contorno. Para simplificar esta solución oscilatoria a un término senoidal. Sin embargo, con el pozo cuadrado finito, no…
ya no tiene ψ(x) = para x = 0 o x = L.
Ahora usamos las condiciones de contorno para resolver las amplitudes de probabilidad A, B, C y D.
No los resolvemos en detalle, sino que ilustramos el método general. Necesitamos la función de onda ψ(x) y su derivada dψ/dx son funciones continuas de x. Hay dos «límites» en el finito pozo cuadrado (entre las regiones I y II y entre II y III). Por lo tanto, podemos generar un total de cuatro ecuaciones para resolver cuatro amplitudes de probabilidad desconocidas. Examinamos cada condición en doblar
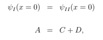
• ψ(x) debe ser continua.
Por lo tanto
ψI (x = 0) = ψII (x = 0)
A = C + D, (84)

yψII (x = L) = ψIII (x = L) CeikL + De−ikL = Be−αL. (85)

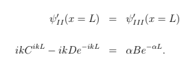
• ψ0(x) = dψ/dx debe ser continua. Por lo tanto
ψ 0 I (x = 0) = ψ 0 II (x = 0) αAeαx|x=0 = ikCikx|x=0 − ikDe−ikx|x=0 αA = ikC − ikD,(86)

y
ψ 0 II (x = L) = ψ 0 III (x = L) ikCikL − ikDe−ikL = αBe−αL . (87)

No profundizaremos más en las matemáticas. En su lugar, nos centraremos en una serie de aspectos cualitativos.
La forma de la función de onda total (I+II+III) para el pozo cuadrado finito se muestra en T–Rex
El resultado más importante es que donde existe un potencial finito, hay
Existe una posibilidad finita de observar la partícula fuera del pozo. Cuanto mayor sea la energía de
la partícula, mayor será la probabilidad de existir fuera del pozo de potencial (ver más abajo).
Esto está en contraste con los resultados derivados para el pozo cuadrado infinito y para cualquier análisis clásico de una partícula atrapada en una caja.
• Una vez más observamos que los niveles de energía están cuantificados y que E = 0 no está permitido.
• Si comparamos las soluciones de onda para los pozos cuadrados finitos e infinitos, vemos que la ecuación de De Broglie
La longitud de onda de una solución dada (n = 1, 2, 3, . . .) es mayor en el pozo finito en comparación con el
pozo infinito. Esto a su vez implica que los momentos y la energía de cada estado son menores para
El potencial finito. Además, el número de niveles de energía se reduce a E < V0.
• La probabilidad finita de que la partícula exista fuera del pozo está vinculada a la idea de la física cuántica.
Tunelización (más adelante). El grado en que la partícula se observará fuera del pozo es
dada por la probabilidad P(x)dx = ψ ∗ (x)ψ(x)dx.
En las regiones III podemos escribir ψ2 (x) = B 2
y
ψ 2 (x) = B 2 e −2αx ∝ e −2α = e −2 √ 2m(V0−E) ̄h 2 . (88)

Con una expresión similar para la región I, vemos que la probabilidad de observar la partícula fuera del pozo es menor para potenciales mayores y también que la probabilidad es mayor para:
Estados de mayor energía.
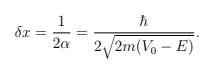
El intervalo de distancia δx en el que la probabilidad disminuye en un factor
e es igual a 1/2α, es decir
δx = 1 2α = h ̄ 2 q 2m(V0 − E) . (89)

Llamamos δx a la profundidad de penetración. En general, la presencia de ¯h en el numerador asegura que δx corresponde a una distancia muy pequeña.
Problema resuelto: considere una partícula con una energía E limitada dentro de un pozo cuadrado finito de altura V0 y ancho 2L tal que −L ≤ x ≤ +L. Como la energía potencial es simétrica respecto a la punto medio del pozo, los estados estacionarios permitidos serán simétricos y antisimétricos
sobre el punto medio.
1. Demuestre que para E < V0 las condiciones de contorno restringen las energías permitidas de simetría.
Ondas para ser
k tan kL = α, (90)
donde α = q (2 m/h¯2)(V0 − E), y k =q2 mE/h¯2
es el número de onda de la oscilación
Interior del pozo.
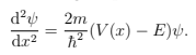
Solución: La ecuación de Schrödinger, independiente del tiempo, se reduce a
d 2ψ dx 2 = 2m h ̄ 2 (V (x) − E)ψ. (91)

Dentro del potencial V (x) = 0 y obtenemos soluciones de la forma sen kx y cos kx donde
k2 = 2 mE/h¯2
Las ondas que son simétricas respecto al punto medio del pozo toman la forma
ψ(x) = A cos kx , (92)

para −L ≤ x ≤ +L. Fuera del pozo, tenemos V (x) = V0 y soluciones de la ecuación de onda
toman la forma exp(±αx). Las condiciones de contorno nos obligan a rechazar exponenciales crecientes.
En Además, la condición de que la función de onda total sea simétrica respecto del punto medio de la Bueno, nos restringe a
ψ(x) = Ce−α|x|, (93)

donde α = 2m(V0−E)/h¯2
y
para x < −L y x > L.
A continuación aplicamos las condiciones de contorno en x = L. La continuidad de ψ proporciona
A cos kL = Ce−αL. (94)

La continuidad de dψ/dx proporciona
−Ak sen kL = −Cαe−αL. (95)

Dividiendo estas dos expresiones se obtiene la expresión deseada para las energías permitidas.
k tan kL = α. (96)

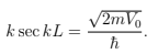
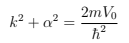
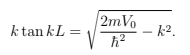
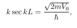
2. Demuestre que la condición de energía anterior se puede escribir como
k seg kL =√2 mV0h¯. (97)

Solución: La inspección de k y α indica que
k2 + a2 =2 mV0 h¯2(98)

Por lo tanto, podemos reescribir la respuesta a la parte (1) como
k tan
kL =s 2 mV0 h¯2 − k2. (99)

Multiplicamos esta expresión por L y elevamos al cuadrado ambos lados.
Observamos que tan²
θ + 1 = seg2
y
toma la raíz cuadrada de la expresión resultante para obtener
k seg kL =√2mV0 h¯, (100)

según sea necesario.
Aplique este resultado para calcular la energía del estado fundamental de un electrón atrapado con un defecto en un cristal que muestra un potencial efectivo de 5 eV y un ancho de 0,2 nm.
Solución: Multiplicar cada lado de la respuesta de la parte (2) por L genera
kL seg kL =√2mV0L h¯. (101)

Calculamos la cantidad
2mV0L h ̄ 2 = 2mc2V0L h ̄ 2 c 2 = (2)(511 keV)(5 eV)(0.1 nm)/(197.3 eV nm)2 = 1.3127, (102)

y observe que ahora tenemos una ecuación de la forma
kL seg kL =√ 1,3127 = 1,1457. (103)

Las expresiones de esta forma se pueden resolver numéricamente. Un simple método de prueba y error da como resultado kL = 0,799 de lo que deducimos que k = 7,99 nm−1
La energía de un no relativista
El electrón que posee este número de onda es
E = h ̄ 2 k 2 2m = ( ̄hc) 2k 2 2mc2 = (197 eV nm)2 (7.99 nm−1 ) 2 (2)(511 keV) = 2.432 eV.(104)

El pozo cuadrado infinito tridimensional
Estamos mejorando constantemente nuestra comprensión de la ecuación de Schrödinger hasta el punto en que…
Puede abordar problemas realistas de física atómica. La siguiente etapa es comprender la aplicación de la Ecuación de Schrödinger en tres dimensiones. Regresamos al pozo cuadrado infinito tridimensional.
como un caso sencillo.
Suponiendo que existirán estados estacionarios en tres dimensiones, consideramos la ecuación de Schrödinger, independiente del tiempo. Sin embargo, el componente espacial de la función de onda es una función de
Tres coordenadas espaciales, es decir, ψ = ψ(x, y, z). Aplicando la conservación de la energía a la ecuación de Schrödinger, independiente del tiempo, y utilizando nuestro conocimiento de los operadores, podemos llegar a una expresión.
de la ecuación de Schrödinger en tres dimensiones. Comenzando con la conservación de la energía,
escribir
E = K + V = p2 ¯2 m + V. (105)

Multiplicando por la función de onda ψ obtenemos
Eψ = pag 2 2 metros ψ + V ψ. (106)

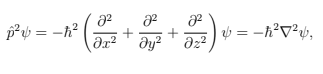
Para re-escribir p2 como operador, observamos que p2 = p2 x + p 2 y + p2 aplicamos el impulso operador en tres dimensiones o momentos, es decir
pˆx = −ih ̄ ∂ψ ∂x pˆx 2 = −h ̄ 2 ∂ 2ψ ∂x2 , (107)

con expresiones similares para y y z. Por lo tanto,
pˆ 2ψ = −h ̄ 2 ∂ 2 ∂x2 + ∂ 2 ∂y2 + ∂ 2 ∂z2 ! ψ = −h ̄ 2∇2ψ,(108)

dónde
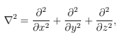
∇2 = ∂ 2 ∂x2 + ∂ 2 ∂y2 + ∂ 2 ∂z2 , (109)

es el operador laplaciano. Por lo tanto, podemos reescribir nuestra ecuación de conservación de energía como
Eψ = − h ̄ 2 2m ∇2ψ + V ψ,(110)

que corresponde a la ecuación de Schrödinger independiente del tiempo en tres dimensiones.
Volviendo al pozo cuadrado infinito tridimensional, consideremos una caja de lados iguales a L1, L2, L3.
Los lados de la caja son infinitamente rígidos de modo que V = 0 dentro de la caja y V = ∞ fuera.
Un punto adicional que nos guía hacia una función de onda válida es el hecho de que la caja es libre de moverse en
cualquier dimensión dentro del cuadro: los componentes x, y, z de la función de onda deben ser independientes
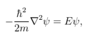
entre sí. Dentro del cuadro, la ecuación de Schrödinger toma la forma
h ̄ 2 2m ∇2ψ = Eψ,(111)

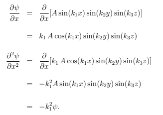
y suponemos una solución de la forma
ψ(x, y, z) = A sin(k1x) sin(k2y) sin(k3z), (112)

donde A es una constante de normalización y los números de onda k1, k2, k3 se determinan aplicando
Las condiciones de contorno del pozo infinito. En cada dimensión podemos aplicar las condiciones de contorno.
condición de la forma
k1L1 = n1π ⇒ k1 = n1π L1 (113)

Con expresiones similares en las dimensiones y y z. Calculamos directamente los niveles de energía permitidos.
de la ecuación de Schrödinger. Para ello, primero debemos calcular las derivadas espaciales de la
función de onda (lo mostramos explícitamente solo para x), es decir
∂ψ ∂x = ∂ ∂x[A sin(k1x) sin(k2y) sin(k3z)] = k1 A cos(k1x) sin(k2y) sin(k3z) ∂ 2ψ ∂x2 = ∂ ∂x[k1 A cos(k1x) sin(k2y) sin(k3z)] = −k 2 1A sin(k1x) sin(k2y) sin(k3z) = −k 2 1ψ.(114)

Como las derivadas de y y z son similares, la ecuación de Schrödinger dentro del cuadro se convierte en
h¯2 2m (k2 1 + k2 2 + k2 3)ψ = Eψ, (115)

lo que indica que
E =h¯2 2m(k2 1 + k 2 2 + k2 3). (116)

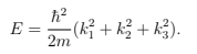
Insertando los valores de k1, k2, k3 derivados de las condiciones de contorno, obtenemos lo siguiente expresión para los niveles de energía permitidos
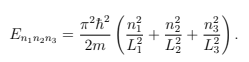
En1n2n3 = pag 2 horas 2 2 metros
En1n2n3 = π 2h ̄ 2 2m n 2 1 L 2 1 + n 2 2 L 2 2 + n 2 3 L 2 3 ! (117)

Como era de esperar, ahora necesitamos tres números cuánticos para describir los posibles estados de energía de un
sistema tridimensional
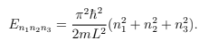
En el caso en que tengamos un pozo cúbico, es decir L = L1 = L2 = L3, los estados de energía se pueden escribir como
En1n2n3 = π 2h ̄ 2 2mL2 (n 2 1 + n 2 2 + n 2 3 ). (118)

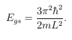
La energía del estado fundamental se produce cuando n1 = n2 = n3 = 1,
Egs = 3π 2h ̄ 2 2mL2(119)

Solo hay una combinación de n1, n2, n3 que genera el estado fundamental. ¿Qué pasa con el primero?
¿Estado excitado? El primer estado excitado se puede lograr con las siguientes configuraciones.
n1 n2 n3 1 1 2 1 2 1 2 1 1 (120)

Por lo tanto, tres estados cuánticos diferentes generan el mismo nivel de energía: se dice que son estados degenerados. En este caso, la simetría tridimensional de la caja de potencial crea la
Degeneración.
La degeneración puede romperse si se rompe la simetría del sistema. Simetría
se puede romper de varias maneras: si las longitudes de los lados del potencial son desiguales, entonces
Los estados de energía degenerados tomarán valores diferentes. La simetría también puede romperse por factores externos.
factores, por ejemplo, un campo eléctrico o magnético. Como el campo eléctrico/magnético es un vector, introduce
un eje preferido en el sistema de modo que los términos de onda alineados con el campo responderán de manera diferente
a términos de onda alineados perpendicularmente. Esto es exactamente lo que sucede con los niveles de energía de un átomo.
cuando se somete a un campo eléctrico (efecto Stark) o magnético (efecto Zeeman) – la adición de un
La fuerza/potencial vectorial rompe la degeneración entre los estados de energía.
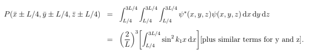
Problema resuelto: Considere un electrón atrapado en un defecto de cristal modelado como un triángulo
pozo cuadrado infinito de longitud L = L1 = L2 = L3 = 0,5 nm.
1. Calcule la probabilidad de observar el electrón del estado fundamental dentro de ¯x ± L/4, ¯y ± L/4, z¯ ± L/4.
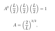
Solución: Para calcular cualquier probabilidad basada en la función de onda, primero debemos determinar
el valor de la constante de normalización, es decir
Z L 0 Z L 0 Z L 0 ψ ∗ (x, y, z)ψ(x, y, z) dx dy dz = 1. (121)

Como la función de onda no implica términos cruzados de la forma sin(xy), etc., podemos separar los tres función de onda unidimensional en tres funciones unidimensionales, es decir, ψ(x, y, z) = f(x)g(y)h(z).
Esto nos permite escribir la expresión de normalización anterior en una forma más conveniente.
A 2 “Z L 0 sin2 k1x dx # “Z L 0 sin2 k2y dy # “Z L 0 sin2 k3z dz # = 1.(122)

Esta ecuación es muy similar al caso en el que normalizamos la función de onda para un pozo cuadrado infinito unidimensional. En este caso, cada integral contenida entre corchetes…
contribuye (L/2) tal que
A 2 L 2 L 2 L 2 = 1 (123) and A = 2 L 3/2 (123 – 124)

que es simplemente el cubo de la constante de normalización determinada para la dimensión unidimensional caso. La posición promedio de la partícula en cada dimensión es simplemente L/2, una vez más, la
mismo resultado que para el caso unidimensional. Para calcular la probabilidad de observar la electrón dentro de ¯x ± L/4, ¯y ± L/4, ¯z ± L/4, por lo tanto formamos la cantidad
P( ̄x ± L/4, y ̄ ± L/4, z ̄ ± L/4) = Z 3L/4 L/4 Z 3L/4 L/4 Z 3L/4 L/4 ψ ∗ (x, y, z)ψ(x, y, z) dx dy dz = 2 L 3 “Z 3L/4 L/4 sin2 k1x dx #
[ términos similares para Y y Z].

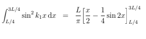
Observamos que para el electrón del estado fundamental k1 = π/L y nos concentramos en la forma de la integral x, es decir Z 3L/4 L/4 pecado2

=Lπ3π8−14sin3π2−π8−14sinπ2=L4.

(125)
Por lo tanto, la integral de probabilidad sobre cada dimensión aporta un término L/4 y podemos
reescribir la integral de probabilidad tridimensional como
P( ̄x ± L/4, y ̄ ± L/4, z ̄ ± L/4) = 2 L 3 L 4 3 = 1 8 . (126)

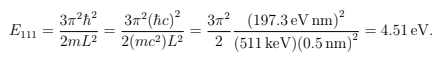
2. Calcule la energía del estado fundamental del electrón.
Solución: El estado fundamental de un pozo tridimensional se describe mediante los números cuánticos.
n1 = n2 = n3 = 1.
Insertando estos valores en la expresión para los niveles de energía de una partícula
En un pozo cuadrado infinito tridimensional, obtenemos
E111 = 3π 2h ̄ 2 2mL2 = 3π 2 ( ̄hc) 2 2(mc2 )L2 = 3π 2 2 (197.3 eV nm)2 (511 keV)(0.5 nm)2 = 4.51 eV.(127)

3. ¿Qué longitud de onda del fotón hará que el electrón del estado fundamental haga una transición al ¿primer estado excitado?
Solución: El primer estado excitado corresponde a una energía
E211 = π 2h ̄ 2 2mL2 [22 + 12 + 12 ] = 2E111.(128)

Nótese que cualquiera de los tres primeros estados excitados posibles daría la misma respuesta. En Para hacer que el electrón cambie del estado fundamental al primer estado excitado, La energía del fotón debe ser
Ephoton = hc λ = E211 − E111 = E111, (129)
Therefore,
λ = hc E111 = 1240 eV nm ×4.51 eV = 273 nm.

Lea también la importancia de esta ecuación para la Teoría M